
Часовые батарейки – это основные источники питания для часов, устройств и других устройств. В категории LR60 существует множество модификаций таких батареек. Основные производители таких батареек – SmartBuy, AG1 и другие. У каждой батарейки есть свои характеристики, такие как напряжение 1.5V, химический элемент и энергопотребление.
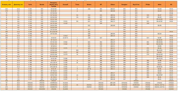
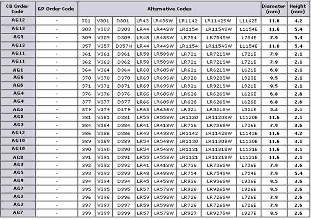
Если вам необходимо подобрать батарейки для часов или другого устройства, обратите внимание на таблицу с популярными моделями. В ней указаны реквизиты для приобретения батареек – номер модели, размеры, количество в упаковке и место приобретения. Для каждой батарейки также доступны технические характеристики и описание производителя.
Выбирая аналог часовой батарейки, уделите внимание документации и файлам с описанием. Заряжать такие батарейки не рекомендуется, поэтому важно правильно подобрать элемент для вашего устройства. Разделы сайта avrobot.ru помогут вам подобрать батарейки в области часовых элементов.
Аккумуляторы для часов: особенности выбора

Аккумуляторы для часов имеют ряд особенностей, которые необходимо учитывать при их приобретении.
В отличие от обычных батареек, аккумуляторы можно заряжать. Это химический элемент, который может быть многократно использован в отличие от обычного батарейного узла.
Основные достоинства аккумуляторов для часов в том, что их можно заменить и использовать снова, что удобно и экономично.
Существуют различные аналоги часовых аккумуляторов, такие как pleomax 1.5v, Cell G1, SmartBuy 30-1040 и другие. В зависимости от энергопотребления и характеристик часов, можно подобрать подходящий аккумулятор.
Чем отличаются аккумуляторы для часов от обычных батареекbutton cell? В основном показателями длительности использования и возможностью зарядки.
При покупке аккумулятора для часов учитывайте основные характеристики, такие как LR60, 6.8×2.15мм, 1.5V и т.д. Следите за правилами утилизации данного элемента после окончания срока его использования.
Перед покупкой оцените ёмкость и срок службы

При выборе аналога для часовой батарейки важно обратить внимание на её ёмкость (емкость элемента) и срок службы. Круглые элементы напряжением 1.5V чаще всего используются в часах, поэтому приобретая такие элементы, обратите внимание на их технические характеристики.
Имеются аналоги для таких батареек, как LR621, AG1, G1, 364 и другие. В области аналогов часовых батареек встречаются маркирующие числа, например, 30-1040, которые указывают на контроль емкости элемента.
Следует обратить внимание на длительность эксплуатации батарейки. У некоторых производителей, таких как SmartBuy, Robiton, Pleomax, есть свои аналоги для часовых батарей LR621. При выборе батареи важно ознакомиться с правилами замены элементов питания и их характеристиками.
Для оценки ёмкости и срока службы батарейки можно обратить внимание на специальные таблицы по аналогам часовых батареек. Там указывается категория батарей, их характеристики, производитель, а также возможные дисковые и кнопочные варианты батареек.
Тип батареи, оптимальный для вашего устройства

- Размеры: 6.8х2.15мм
- Напряжение: 1.5V
- Производители: SmartBuy, Robiton, Pleomax и другие
- Технические характеристики: AG1 имеет ёмкость около 23-25 мАч
- Применения: Часовые, калькуляторы, дисковые элементы и другие устройства
Для замены батарейки AG1 можно использовать аналоги LR621, SR621SW, 364 и др. При покупке рекомендуется обратить внимание на следующие основные параметры:
- Производитель батареи
- Емкость батареи
- Элемент напряжения
Для выбора подходящей батарейки можно использовать таблицу аналогов и сравнить их характеристики. Подобрав правильный аналог, вы получите надежный элемент питания для вашего устройства.
Видео:
Тест батареек 2032 | Какую батарейку выбрать для себя









